Faktor Penentangan Mat Salleh Terhadap British

Slaid Sejarah Tingkatan 5 Bab 2

Slaid Sejarah Tingkatan 5 Bab 2

Perjuangan Di Sabah Mat Salleh Lessons Tes Teach

Perjuangan Di Sabah Mat Salleh Lessons Tes Teach

Sejarah 2 1 2 1 1 2 1 2

Sejarah 2 1 2 1 1 2 1 2

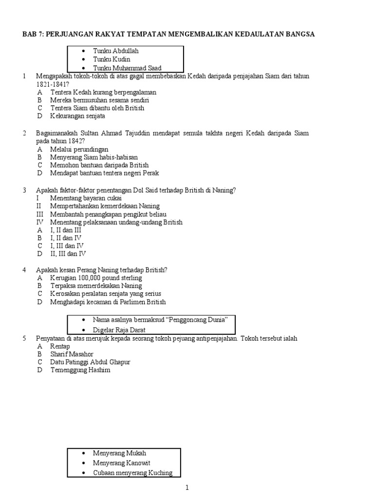
Bab 7

Bab 7

Mat Salleh

Mat Salleh

Ppt Latar Belakang Mat Salleh Irzan Majid Academia Edu

Ppt Latar Belakang Mat Salleh Irzan Majid Academia Edu

Ppt Latar Belakang Mat Salleh Irzan Majid Academia Edu

Datu mat salleh lebih dikenali dengan mudah sebagai mat salleh merupakan pejuang sabah yang terkenal dalam penentangan yang hebat terhadap penjajahan british di sabah.

Faktor penentangan mat salleh terhadap british. 1 dasar penaklukan british. Penentangan masyarakat tempatan penentangan masyarakat tempatan terhadap. Penentangan penduduk tempatan terhadap british adalah kerana dasar penaklukan british di daerah mereka seperti di naning pahang kelantan terengganu sarawak dan sabah. Datu mat salleh lebih dikenali dengan mudah sebagai mat salleh.

Beliau pernah mengisytiharkan daerah tambunan sebagai daerah di bawah kekuasaannya. Datu paduka mohammad salleh bin datu balu dilahirkan di inanam sabah dan berketurunan bajau suluk beliau memang terkenal dengan sifat kepahlawanan dan keberanian berperang. Anak kedua dalam sekeluarga empat adik beradik daripada suku βajau dan ѕuluk. Posted by 2 hormat 2010 at 1 42 am.

Biodata mat salleh. Pernah mengisytiharkan daerah tambunan sebagai daerah di bawah kekuasaannya. Mat salleh ialah anak kedua dalam sekeluarga empat adik beradik daripada suku suluk paitan. Apabila british menguasai satu wilayah maka kawasan itu adalah.

Kempen penentangan mat salleh dan pengikut pengikutnya menyebabkan pihak syarikat berpiagam borneo utara british mengalami kerugian besar dari segi perbelanjaan ketenteraan. Faktor istana british menggunakan istana untk memadamkn kebangkitan masyarakat tempatan. Beliau dibunuh pada 2 november 1875 dalam satu peristiwa yang dikenali sebagai perang perak. Merupakan pejuang sabah yang terkenal dalam penentangan yang hebat terhadap penjajahan british di sabah.

Mat salleh tidak dilayan dan setelah menunggu selama sepuluh hari beliau meninggalkan sandakan. Pada 1900 mat salleh gugur dalam pertempuran di tambunan iii penentangan mat sator di sabah latar belakang mat sator merupakan orang kanan dan ketua leftenan mat salleh yang bertanggungjawab melindungi kubu mat salleh di tibabar beliau juga pemimpin kadazandusun di tambunan beliau turut dikenali sebagai mat jator sebab penentangan. Datu paduka mohammad salleh bin datu balu lebih dikenali dengan mudah sebagai mat salleh merupakan pejuang sabah yang terkenal dalam penentangan terhadap penjajahan british di sabah. Ogos 1895 mat salleh pembesar ke sandakan utk bertemu c v creagh gabenor beaufort utk berunding tentang masalah cukai tindakan.

Pembunuhan birch di pasir salak merupakan peristiwa menentang kekuasaan british di perak. Faktor penentangan mat salleh. Dasar penaklukan british terhadap nnm bertujuan untuk mengukuhkan kuasa politik. Penentangan ini berlaku secara bersama oleh pembesar dan sultan.

Beliau ingin berunding tentang masalah cukai dan tindakan kekerasan pegawai sbub terhadap penduduk tempatan. Kesan penentangan dato bahaman dan pengikutnya memperlihatkan keberanian menentang pihak british kedudukan british di pahang tergugat dengan semangat patriotisme oleh pahlawan pahang kebangkitan ini berlangsung selama 4 tahun 1891 1894 pihak british terpaksa menanggung.

Mat Salleh By Syaznira Elnisya

Mat Salleh By Syaznira Elnisya

Rph Sejarah Tahun 5 Peristiwa Perjuangan Menentang British Ii

Rph Sejarah Tahun 5 Peristiwa Perjuangan Menentang British Ii

Penentangan Mat Salleh Di Sabah Ppt Download

Penentangan Mat Salleh Di Sabah Ppt Download

Perjuangan Pemimpin Tempatan Menentang British Ppt Download

Perjuangan Pemimpin Tempatan Menentang British Ppt Download

Doc Bab 7 Perjuangan Rakyat Tempatan Mengembalikan K Ejam Fst Academia Edu

Doc Bab 7 Perjuangan Rakyat Tempatan Mengembalikan K Ejam Fst Academia Edu

Power Point Pm 2

Power Point Pm 2

Bab 3 Sebab Dan Bentuk Penentangan

Bab 3 Sebab Dan Bentuk Penentangan

Nota Bab2 By Hidayah Mohd Yusuf Chong Issuu

Nota Bab2 By Hidayah Mohd Yusuf Chong Issuu

Ppt Induksi Set Powerpoint Presentation Free Download Id 427945

Ppt Induksi Set Powerpoint Presentation Free Download Id 427945

Faktor Penentangan Tok Janggut Youtube

Faktor Penentangan Tok Janggut Youtube

Bahan Kertas 3 Sejarah Spm 2015

Bahan Kertas 3 Sejarah Spm 2015

Panduan Menjawab Soalan Kertas 3

Panduan Menjawab Soalan Kertas 3

Zaman Penjajahan Tanah Melayu

Zaman Penjajahan Tanah Melayu

Bab 6 Penentangan Terhadap Kuasa Asing

Bab 6 Penentangan Terhadap Kuasa Asing

بلقيس No Twitter So Me And My Sis Buat Homework Topik Sejarah Form 5 Penentangan Terhadap Pihak British And She Did About Sabah Mat Salleh Basically Her Teacher Suruh Lukis Komik Sejarah How Many Marks

بلقيس No Twitter So Me And My Sis Buat Homework Topik Sejarah Form 5 Penentangan Terhadap Pihak British And She Did About Sabah Mat Salleh Basically Her Teacher Suruh Lukis Komik Sejarah How Many Marks

T2 Bab 7

T2 Bab 7

Kertas 3 Sej

Kertas 3 Sej

Tajuk Sej

Tajuk Sej

Https Encrypted Tbn0 Gstatic Com Images Q Tbn 3aand9gcr3bdnk2o309plntfsce6ohwot6zd6cb37azjrt4djvjwc Rcpq Usqp Cau

Https Encrypted Tbn0 Gstatic Com Images Q Tbn 3aand9gcr3bdnk2o309plntfsce6ohwot6zd6cb37azjrt4djvjwc Rcpq Usqp Cau

Pengajian Kenegaraan Kemerdekaan

Pengajian Kenegaraan Kemerdekaan

Penentangan Terhadap Kuasa Asing

Penentangan Terhadap Kuasa Asing

Penentangan Syarif Masahor Dan Datu Patinggi Abdul

Penentangan Syarif Masahor Dan Datu Patinggi Abdul

2 1 Perjuangan Pemimpin Tempatan Menentang British

2 1 Perjuangan Pemimpin Tempatan Menentang British

Rph Sejarah Tahun 5 Peristiwa Perjuangan Menentang British Iii

Rph Sejarah Tahun 5 Peristiwa Perjuangan Menentang British Iii

Sejarah T2 B7

Sejarah T2 B7

Datu Mat Salleh

Datu Mat Salleh

Ppt Bab2 Nasionalisme Di Malaysia Sehingga Perang Dunia Kedua Powerpoint Presentation Id 461819

Ppt Bab2 Nasionalisme Di Malaysia Sehingga Perang Dunia Kedua Powerpoint Presentation Id 461819

Sejarah Tingkatan 3 Bab 7 Penentangan Masyarakat Tempatan

Sejarah Tingkatan 3 Bab 7 Penentangan Masyarakat Tempatan

Sejarah Spm Tingkatan 5 App Su Google Play

Sejarah Spm Tingkatan 5 App Su Google Play

Bab 2 Pdf

Bab 2 Pdf

Sebab Sebab Penentangan Ppt Download

Sebab Sebab Penentangan Ppt Download

Biodata Dol Said

Biodata Dol Said

T5b2 Nota Pages 1 14 Text Version Anyflip

T5b2 Nota Pages 1 14 Text Version Anyflip

Kertas 3 Sejarah

Kertas 3 Sejarah

Folio Tahun 5 Penjajahan Dan Tokoh

Folio Tahun 5 Penjajahan Dan Tokoh

Mat Salleh Wikipedia Bahasa Melayu Ensiklopedia Bebas

Mat Salleh Wikipedia Bahasa Melayu Ensiklopedia Bebas

Nota Sejarah Spm Powerupda S Diary

Nota Sejarah Spm Powerupda S Diary

Kertas 3 Bab 2 Tingkatan 5

Kertas 3 Bab 2 Tingkatan 5

Perjuangan Kemerdekaan Dan Nasionalisme

Perjuangan Kemerdekaan Dan Nasionalisme

Sejarah 3 Spm 2015

Sejarah 3 Spm 2015

Mobile Uploads

Mobile Uploads

Penyebab Kejatuhan Mat Salleh Old History Of Borneo Facebook

Penyebab Kejatuhan Mat Salleh Old History Of Borneo Facebook

Bab 6

Bab 6

Bab 7 Perjuangan Rakyat Tempatan Mengembalikan Kedaulatan Bangsa

Bab 7 Perjuangan Rakyat Tempatan Mengembalikan Kedaulatan Bangsa

Source : pinterest.com